L’expérience britannique de l’EIS est intéressante car nous avons vu depuis sa création 5 augmentations du plafond de défiscalisation, c’est-à-dire des montants investis qui donnent droit à une réduction de 20% du montant investi de l’impôt sur le revenu : d’abord 100.000 livres à la création en 1994, puis 150.000 en 1998 puis 200.000 en 2004 puis 400.000 en 2006 puis 500.000 en 2008 puis 1 million en 2012. Notons que les années fiscales britanniques sont décalées par rapport aux nôtres, débutant le 1er juillet et se terminant le 30 juin. Notons également que l’impôt est individuel et non par ménage et que donc, pour un ménage qui diviserait ses revenus et investissements, il faut doubler la déduction pour la comparer à la déduction française de l’Avantage Madelin ou de l’ISF-TEPA.
Il faut d’abord noter qu’avec deux fois moins de fonctionnaires dans l’équivalent de notre DGFiP, 60.000 contre 120 .000, nous disposons d’infiniment plus de chiffres publiés. Nous donnons in fine un exemple des tableaux publiés par le Treasury dont a été dérivé le graphique de cet article.
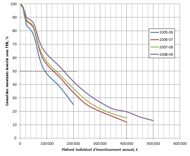
Ce graphique montre la distribution du montant d’EIS collecté cumulé en fonction du montant de l’investissement. En représentant ce montant en pourcentage de l’investissement total plutôt qu’en valeur absolue, nous avons éliminé l’effet conjoncturel.
Les montants investis qui étaient en ascension avant 2009 se sont réduits du fait de la crise de 2008. Cette réduction a eu lieu surtout en nombre car le montant moyen est resté assez stable.
| Année | Total investi | Nombre d’investisseurs | Montant moyen |
| 2005/2006 | 647 000 000 | 31 503 | 20 538 |
| 2006/2007 | 731 000 000 | 39 625 | 18 448 |
| 2007/2008 | 706 000 000 | 36 862 | 19 153 |
| 2008/2009 | 516 000 000 | 23 354 | 22 095 |
| 2009/2010 | 622 000 000 | 25 830 | 24 081 |
| 2010/2011 | 525 000 000 | 29 146 | 18 013 |
Mais si l’investissement moyen reste assez stable, la taille moyenne de l’investissement pour lequel la moitié du total de l’investissement est atteinte se déplace vers le haut et a crû régulièrement d’environ 30% entre 2005-2006 et 2008-2009.

On voit également qu’à chaque palier une part importante de l’investissement se place au plafond, mais qu’avec la hausse du plafond, la fraction qui s’investit à ce niveau décroît.
Il est visible qu’il n’y a plus beaucoup d’intérêt à faire croître ce plafond au-delà du plafond de 500.000 livres. Peut-être est-ce pour cela que le gouvernement britannique a ajouté à l’augmentation du plafond porté à 1 million une augmentation du taux porté à 30%.
Comment fait le ministère des finances français, Bercy, pour gouverner sans statistiques ?
Exemple de tableau publié par le Treasury britannique donnant la distribution de la taille des investissements

